
产品分类
PRODUCT CLASSIFICATION
更新时间:2026-04-24
浏览次数:100
土耳其帕穆卡莱大学食品工程系的Engin Demiray团队在《Journal of Food Quality》期刊上发表了题为“The Effect of Drying Temperature and Thickness on the Drying Kinetic, Antioxidant Activity, Phenolic Compounds, and Color Values of Apple Slices"的研究论文。该研究探讨了热风干燥过程中不同干燥温度(45、55、65°C)和苹果切片厚度(1.5 mm和5 mm)对干燥动力学、抗氧化活性、总酚类化合物以及颜色变化的影响。
摘要
水果干片是重要、健康且受欢迎的零食,因其高营养含量而日益受到重视。在此背景下,本研究主要关注生产健康苹果脆片零食,并测定在三种不同温度(45、55和65°C)和样品厚度(1.5和5 ± 0.5 mm)的对流热风干燥过程中,抗氧化活性、总酚类化合物和苹果脆片零食颜色值的降解动力学。同时计算了干燥动力学、解吸等温线、活化能和苹果脆片零食的半衰期。Page模型和GAB模型分别是确定苹果零食干燥行为(R² > 0.992)和解吸行为(R² > 0.9979)的最佳模型,具有最高的R²值。所有样品的干燥均发生在降速阶段。有效水分扩散系数(D_eff)值随空气温度和切片厚度的增加而增加。厚度为5 mm样品的抗氧化活性、总酚类化合物和总颜色变化遵循一级反应动力学。在厚度(1.5 mm)和温度(45°C)较低的条件,观察到了较高的抗氧化活性、酚类化合物、L值以及较低的半衰期值。计算得到的总酚类化合物的活化能值高于抗氧化活性的活化能值。结果表明,选择低温低切片厚度可以生产出高营养价值的苹果脆片零食。
实验材料与仪器
苹果(储存条件:4°C冰箱中保存至干燥实验开始)
试剂:70%乙醇、甲醇、DPPH(2,2-二苯基-1-苦基肼)、Trolox、Folin-Ciocalteu试剂、碳酸钠、没食子酸。
干燥柜、游标卡尺、 GBX eFAst Lab水分活度仪、超声水浴、轨道摇床、离心机、分光光度计、色差仪、分析天平

GBX eFAst Lab水分活度仪
实验过程
样品准备:苹果清洗、去皮、去除不可食用部分,用刀具切成1.5 mm和5 ± 0.5 mm厚度的薄片。
热风干燥:将苹果切片置于干燥柜中,在45、55、65°C三个温度下干燥,空气流速恒定0.2 m/s。每隔30分钟将托盘取出称重并记录数据。干燥结束后,样品在室温下于干燥器中放置30分钟,再于4°C放置1小时,最后在-20°C冷却冻结。干燥过程中每30分钟测定抗氧化活性、总酚类化合物和颜色值。

GBX eFAst Lab水分活度仪

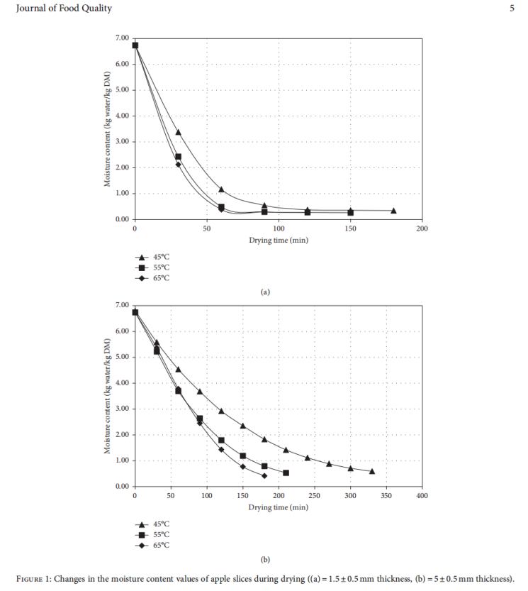
苹果切片干燥过程中含水量值的变化((a)=1.5 0.5 mm厚度,(b)=5 0.5 mm厚度)

苹果片干燥速率与含水量的变化关系((a)=1.5土0.5 mm厚度,(b)=5 0.5mm厚度)
解吸等温线建模:选用GAB、BET、Oswin、Henderson、Halsey模型。
提取液制备:取约2 g苹果样品研磨,加入10 mL 70%乙醇,超声处理10分钟,轨道摇床振荡15分钟,离心(10°C, 7450 rpm, 10分钟),取上清液,重复提取一次,合并后用70%乙醇定容至25 mL,-20°C保存。
抗氧化活性测定(DPPH法):DPPH甲醇工作液吸光度调至1.20 ± 0.02,Trolox制作标准曲线。取150 μL样品或标准品与2850 μL DPPH工作液混合,避光反应60分钟,515 nm读取吸光度。
总酚类化合物测定(Folin-Ciocalteu法):FC试剂按1:10稀释,碳酸钠溶液20%。没食子酸制作标准曲线(5-100 mg/L)。取2 mL样品或标准品,加10 mL稀释FC试剂,1-8分钟内加8 mL 20%碳酸钠,避光反应2小时,760 nm读取吸光度。
颜色测定:使用色差仪测量L、a、b值,计算色相角、彩度和总颜色变化ΔE。
降解动力学建模:采用零级、一级、二级反应动力学模型(公式7-9),计算反应速率常数k、Q₁₀值、半衰期t₁/₂和活化能E_a。
统计分析:实验设两个平行、三次重复,使用SPSS 20.0进行Duncan多重比较检验,p ≤ 0.05。
实验结论
干燥动力学
初始水分含量为6.74 kg水/kg干物质,初始水活度0.962。干燥后1.5 mm厚样品水活度为0.348(45°C)、0.278(55°C)、0.299(65°C);5 mm厚样品为0.425(45°C)、0.396(55°C)、0.353(65°C)。
干燥时间随温度升高和厚度减小而缩短:1.5 mm厚度干燥时间120-180分钟,5 mm厚度180-330分钟。65°C下1.5 mm样品从6.74降至0.27 kg水/kg干物质需120分钟。
Page模型拟合最佳(R² > 0.992),干燥均处于降速阶段。
D_eff值:1.5 mm厚度下为3.37E-07至4.29E-07 m²/s,5 mm厚度下为3.07E-06至4.31E-06 m²/s,随温度和厚度增加而增大。
活化能:1.5 mm厚度为10.56 kJ/mol,5 mm厚度为14.70 kJ/mol。
解吸等温线
GAB模型为最佳拟合模型(R²最高),k值随温度升高而增加,单层水分含量无一致趋势。
抗氧化活性与总酚类化合物
新鲜苹果切片抗氧化活性为289.24 μmol Trolox当量/100g DM,总酚类化合物为957.63 mg没食子酸当量/100g DM。
干燥后抗氧化活性损失约90%,总酚类化合物损失约55%。1.5 mm厚度、55°C条件下抗氧化活性最高(34.44 μmol TE/100g DM);45°C、1.5 mm条件下总酚类化合物最高(411.90 mg GAE/100g DM)。
降解动力学:5 mm厚度样品的抗氧化活性和总酚类化合物遵循一级反应;1.5 mm厚度抗氧化活性遵循二级反应,总酚类化合物遵循零级反应。
Q₁₀值显示65-55°C区间温度敏感性高于45-55°C区间。半衰期随温度升高而降低,随厚度增加而增加。总酚类化合物的活化能高于抗氧化活性。
总结
生产苹果脆片时,1.5 mm薄片干燥速度更快,生物化学品质保留更好。45°C低温比65°C更有利于保留抗氧化活性、酚类化合物和颜色。低温低厚度条件对保留苹果脆片零食的品质特性具有优势。该研究结果为苹果片干燥工艺中品质保持的条件选择提供了依据。
参考文献
1. Rasooli Sharabiani, V., Kaveh, M., Abdi, R., Szymanek, M., & Tanaś, W. (2021). Estimation of moisture ratio for apple drying by convective and microwave methods using artificial neural network modeling. Scientific Reports, 11(1), 9155.
2. Arora, B., Sethi, S., Joshi, A., Sagar, V. R., & Sharma, R. R. (2018). Antioxidant degradation kinetics in apples. Journal of Food Science and Technology, 55(4), 1306-1313.
CONTACT
办公地址:上海市嘉定区静塘路988号TEL:021-59169693
EMAIL:info@labcan.cn
微信公众号